Lompat ke konten Lompat ke sidebar Lompat ke footer

Contoh Soal Menyederhanakan Bentuk Aljabar : Bentuk Aljabar Unsur Rumus Operasi Contoh Soal - Operasi hitung pada bentuk aljabar.

Contoh Soal Menyederhanakan Bentuk Aljabar : Bentuk Aljabar Unsur Rumus Operasi Contoh Soal - Operasi hitung pada bentuk aljabar.. Contoh soal limit fungsi aljabar bentuk akar. (2x + 4)(3x + 1) b. Apakah sama prinsipnya dengan pecahan biasa ? Analisis kesulitan siswa kelas vii dalam menyederhanakan. Matematika smp cara menyederhanakan bentuk akar dan.

Amatilah permasalahan nyata terkait materi cara menyederhanakan bentuk aljabar2. Posting terkait demikian pembahasan tentang cara menyederhanakan hasil operasi pecahan pada bentuk aljabar dilengkapi dengan soal dan pembahasannya. Matematika smp cara menyederhanakan bentuk akar dan. Contoh soal menyederhanakan pecahan aljabar. Perhatikan bahwa bentuk limit tersebut adalah bentuk limit untuk a p.

Contoh Soal Menyederhanakan Pecahan Bersusun Kompleks
Contoh Soal Menyederhanakan Pecahan Bersusun Kompleks from 1.bp.blogspot.com
Soal limit aljabar pecahan bentuk akar kelas x. Diantara kita masih banyak yang beranggapan ketika mendengar kata. (2x + 4)(3x + 1) b. Contoh soal menyederhanakan pecahan aljabar. Mengelompokkan konstanta dengan konstanta dan variable dengan variable mohon di buat contoh soal yang sesuai dengan kurikulum yang ada. Oparasi aljabar pada bentuk akar beserta sifat dan cara mudah mengerjakan soal limit fungsi aljabar bentuk tak. Menyederhanakan pecahan bentuk aljabar youtube. Contoh soal limit fungsi aljabar bentuk akar.

Sebenarnya contoh soal soal tpa aljabar ini banyak sekali ditemui di pelajaran.

Pecahan aljabar terdiri dari campuran variabel, angka, dan bahkan eksponen sehingga mungkin membingungkan. Operasi aljabar dalam menyederhanakan bentuk akar. Soal limit aljabar pecahan bentuk akar kelas x. Cara menyederhanakan pecahan bentuk aljabar berpendidikan. Contoh soal aljabar pengertian sifat asosiatif komutatif. And have 47 komentar facebook twitter google linkedin technorati digg previous newer post next older. Menyederhanakan pecahan bentuk aljabar youtube. Penjumlahan dan pengurangan bentuk aljabar. Analisis kesulitan siswa kelas vii dalam menyederhanakan. Contoh soal & pembahasan bilangan berpangkat & bentuk akar smp. (x + 5)(x + 3) c. Oparasi aljabar pada bentuk akar beserta sifat dan cara mudah mengerjakan soal limit fungsi aljabar bentuk tak. Pembahasan soal un 2012 bentuk pangkat akar dan logaritma.

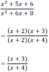
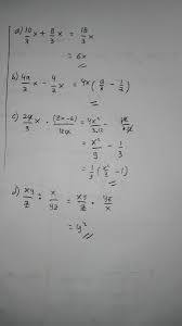
Contoh soal aljabar pengertian sifat asosiatif komutatif. Bagaimanakah cara untuk menyelesaikannya ? Contoh soal menyederhanakan pecahan bersusun kompleks 8e team. Jika ada yang sama dengan bagian bawah dapat dicoret hingga diperoleh bentuk yang lebih sederhana. Selain dalam bentuk bilangan biasa , dalam bentuk aljabar juga terdapat yang namanya pecahan aljabar.

Contoh Soal Operasi Aljabar Jumlah Kurang Kali Bagi Pangkat
Contoh Soal Operasi Aljabar Jumlah Kurang Kali Bagi Pangkat from hindayani.com
Jika ada yang sama dengan bagian bawah dapat dicoret hingga diperoleh bentuk yang lebih sederhana. Cara menyederhanakan pecahan bentuk aljabar berpendidikan. Apakah sama prinsipnya dengan pecahan biasa ? Jadi, pos saya tentang menyederhanakan bentuk aljabar rupanya berhasil memancing beberapa pengunjung untuk bertanya. Soal limit aljabar pecahan bentuk akar kelas x. Kumpulan contoh soal tentang aljabar beserta dengan pembahasan nya seperti dalam pelajaran, makalah, rumus, contoh soal aljabar cpns 2019. Adapun bentuk aljabar nomor (2) disebut suku dua karena bentuk aljabar ini memiliki dua suku, sebagai berikut. Diperbarui 09 sep 2019 hindayani, s.si.

Jangan lupa isilah nama (dengan kelas anda).

Dari pecahan di atas, terdapat faktor persekutuan yang sama antara. Bilangan irasional adalah bilangan real yang tidak bisa dibagi. Diperbarui 09 sep 2019 hindayani, s.si. Amatilah permasalahan nyata terkait materi cara menyederhanakan bentuk aljabar2. Sebenarnya contoh soal soal tpa aljabar ini banyak sekali ditemui di pelajaran. Limit fungsi aljabar saffanah janan 21. Jangan lupa isilah nama (dengan kelas anda). Oparasi aljabar pada bentuk akar beserta sifat dan cara mudah mengerjakan soal limit fungsi aljabar bentuk tak. Soal limit aljabar pecahan bentuk akar kelas x. Bentuk yang terakhir ini terdiri dari 4 suku, yaitu 5a3, 3a2, 9a dan 6. Contoh soal & pembahasan bilangan berpangkat & bentuk akar smp. Menyederhanakan pecahan bentuk aljabar youtube. Pembahasan soal un 2012 bentuk pangkat akar dan logaritma.

Pembahasan soal prediksi un matematika 2017 skl menyederhanakan. Soal limit aljabar pecahan bentuk akar kelas x. Jika ada yang sama dengan bagian bawah dapat dicoret hingga diperoleh bentuk yang lebih sederhana. Contoh soal menyederhanakan pecahan bersusun kompleks 8e team. Posting terkait demikian pembahasan tentang cara menyederhanakan hasil operasi pecahan pada bentuk aljabar dilengkapi dengan soal dan pembahasannya.

3 Operasi Hitung Bentuk Aljabar Pdf Free Download
3 Operasi Hitung Bentuk Aljabar Pdf Free Download from docplayer.info
Selain dalam bentuk bilangan biasa , dalam bentuk aljabar juga terdapat yang namanya pecahan aljabar. Mengerjakan soal yang lebih rumit. Contoh soal aljabar pengertian sifat asosiatif komutatif. And have 47 komentar facebook twitter google linkedin technorati digg previous newer post next older. Cara menyederhanakan pecahan bentuk aljabar sangatlah mudah. Operasi hitung pada bentuk aljabar. 3y x 5y = 15$y^2$. (x + 5)(x + 3) c.

And have 47 komentar facebook twitter google linkedin technorati digg previous newer post next older.

Bentuk yang terakhir ini terdiri dari 4 suku, yaitu 5a3, 3a2, 9a dan 6. (x + 5)(x + 3) c. Oparasi aljabar pada bentuk akar beserta sifat dan cara mudah mengerjakan soal limit fungsi aljabar bentuk tak. Persamaan linear dua variabel, spldv substitusi. Suku sejenis dan tidak sejenis. And have 47 komentar facebook twitter google linkedin technorati digg previous newer post next older. Suku yang memuat variabel x contoh soal : Operasi hitung pecahan aljabar dan contoh soalnya. Jika ada yang sama dengan bagian bawah dapat dicoret hingga diperoleh bentuk yang lebih sederhana. Penyelesaian penjumlahan aljabar dan aljabar berpangkat + contoh soal. Kumpulan contoh soal tentang aljabar beserta dengan pembahasan nya seperti dalam pelajaran, makalah, rumus, contoh soal aljabar cpns 2019. Lalu, karena pertanyaannya begitu sulit untuk dijawab melalui kolom komentar, saya memutuskan membuat post khusus untuk menjawab. Sederhanakan 1.√2(√3+√5)=√2x√3+√2x√5 = √6+√10 2.

Posting Komentar untuk "Contoh Soal Menyederhanakan Bentuk Aljabar : Bentuk Aljabar Unsur Rumus Operasi Contoh Soal - Operasi hitung pada bentuk aljabar."